题目内容

已知定义域为的函数是奇函数.

(Ⅰ)求的值;

(Ⅱ)证明函数上是减函数.

 

【答案】

(1),(2)详见解析

【解析】

试题分析:(1)根据定义域能取到零的奇函数过原点,即解方程可求得值;(2)利用函数单调性的定义证明函数上是减函数,分四步:第一“取值”,第二“作差、变形”,第三“定号”、第四“下结论”,即证明函数单调性的“四部曲”.

试题解析:(Ⅰ)∵是奇函数,所以(经检验符合题设)

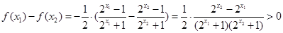
(Ⅱ)由(1)知.对,当时,总有

,

∴函数上是减函数.

考点:奇函数的性质应用,函数单调性的证明.

 

练习册系列答案
相关题目

违法和不良信息举报电话:027-86699610 举报邮箱:58377363@163.com

精英家教网