题目内容
设Sn是等比数列{an}的前n项和,S3,S9,S6成等差数列,且a2+a5=2am,则m= .
【答案】分析:由S3,S9,S6成等差数列,利用等差数列的性质列出关系式,利用等比数列的前n项和公式化简,得到关于q的关系式,再利用等比数列的性质化简a2+a5=2am的左右两边,将得到的关于q的关系式整理后代入,即可得出m的值.
解答:解:∵Sn是等比数列{an}的前n项和,且S3,S9,S6成等差数列,
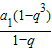
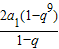
∴2S9=S3+S6,即
=
+
,
整理得:2(1-q9)=1-q3+1-q6,即1+q3=2q6,
又a2+a5=a1q+a1q4=a1q(1+q3)=2a1q7,2am=2a1qm-1,且a2+a5=2am,
∴2a1q7=2a1qm-1,即m-1=7,
则m=8.
故答案为:8
点评:此题考查了等差数列的性质,等比数列的通项公式及求和公式,熟练掌握性质及公式是解本题的关键.
解答:解:∵Sn是等比数列{an}的前n项和,且S3,S9,S6成等差数列,
∴2S9=S3+S6,即
整理得:2(1-q9)=1-q3+1-q6,即1+q3=2q6,
又a2+a5=a1q+a1q4=a1q(1+q3)=2a1q7,2am=2a1qm-1,且a2+a5=2am,
∴2a1q7=2a1qm-1,即m-1=7,
则m=8.
故答案为:8
点评:此题考查了等差数列的性质,等比数列的通项公式及求和公式,熟练掌握性质及公式是解本题的关键.
练习册系列答案
相关题目
设Sn是等比数列{an}的前n项和,
=
,则
等于( )
| S3 |
| S6 |
| 1 |
| 3 |
| S6 |
| S12 |
A、
| ||
B、
| ||
C、
| ||
D、
|