题目内容
已知椭圆A.
B.
C.2
D.-2
【答案】分析:利用中点坐标公式、斜率计算公式、“点差法”即可得出.
解答:解:设以点P为中点的弦所在直线与椭圆相交于点A(x1,y1),B(x2,y2),斜率为k.
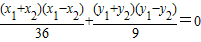
则
,
,两式相减得
,
又x1+x2=8,y1+y2=4,
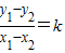
,
代入得
,解得k=
.
故选A.
点评:熟练掌握中点坐标公式、斜率计算公式、“点差法”是解题的关键.
解答:解:设以点P为中点的弦所在直线与椭圆相交于点A(x1,y1),B(x2,y2),斜率为k.
则
又x1+x2=8,y1+y2=4,
代入得
故选A.
点评:熟练掌握中点坐标公式、斜率计算公式、“点差法”是解题的关键.
练习册系列答案
相关题目