题目内容


设函数f(x)=ax3-3x+1(x∈R),若对于任意x∈[-1,1],都有f(x)≥0成立,则实数a的值为________.


4

[解析] (构造法)若x=0,则不论a取何值,f(x)≥0显然成立;

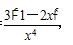
x>0,即x∈(0,1]时,f(x)=ax3-3x+1≥0可化为a.设g(x)=

g′(x)=

所以g(x)在区间(0,]上单调递增,在区间[,1]上单调递减,

因此g(x)maxg()=4,从而a≥4.

x<0,即x∈[-1,0)时,同理a.

g(x)在区间[-1,0)上单调递增,

g(x)ming(-1)=4,从而a≤4.综上可知a=4.


练习册系列答案
相关题目

违法和不良信息举报电话:027-86699610 举报邮箱:58377363@163.com

精英家教网