题目内容
设数列
恒满足
,则数列
为 ( )
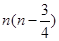
A.
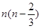
B.
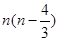
C.
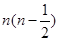
D.
A
练习册系列答案
相关题目
设数列
恒满足
,则数列
为 ( )
| A. | B. | C. | D. |
题目内容
设数列
恒满足
,则数列
为 ( )
A.
B.
C.
D.
A
设数列
恒满足
,则数列
为 ( )
| A. | B. | C. | D. |