题目内容
不用计算器求下列各式的值:
(1)
;
(2)
.
【答案】
(1)
;(2)
.
【解析】
试题分析:(1)结合指数的运算性质进行求解,(2) 结合对数的运算性质进行求解,详见试题解析.
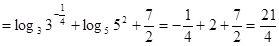
试题解析:(1)原式![]()
![]()
.
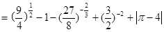
(2)![]()
.
考点:指数与对数的基本运算
练习册系列答案
相关题目
题目内容
不用计算器求下列各式的值:
(1)
;
(2)
.
(1)
;(2)
.
【解析】
试题分析:(1)结合指数的运算性质进行求解,(2) 结合对数的运算性质进行求解,详见试题解析.
试题解析:(1)原式![]()
![]()
.
(2)![]()
.
考点:指数与对数的基本运算