题目内容
设椭圆C:(Ⅰ)求椭圆C的方程;
(Ⅱ)是否存在直线l,使得以线段MN为直径的圆过原点,若存在,求出直线l的方程;若不存在,说明理由.
(Ⅲ)若AB是椭圆C经过原点O的弦,MN∥AB,求证:
【答案】分析:(Ⅰ)椭圆的顶点为(0,
),即b=
,e=
=
,所以a=2,由此能求出椭圆的标准方程.
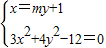
(Ⅱ)设l的方程为x=my+1,M(x1,y1),N(x2,y2),由
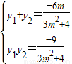
,得(3m2+4)y2+6my-9=0,再由韦达定理和x1x2+y1y2=0,得-12m2-5=0这不可能,所以不存在存在直线l,使得以线段MN为直径的圆过原点.
(Ⅲ)设M(x1,y1),N(x2,y2),A(x3,y3),B(x4,y4),由|MN|=
|x1-x2|=
=
.知
=4为定值.
解答:解:(Ⅰ)椭圆的顶点为(0,
),即b=
,e=
=
,所以a=2,
∴椭圆的标准方程为
+
=1
(Ⅱ)不存在.设l的方程为x=my+1,M(x1,y1),N(x2,y2),则由
得(3m2+4)y2+6my-9=0所以
因为x1x2+y1y2=0⇒(m2+1)y1y2+m(y1+y2)+1=0
即
,-12m2-5=0这不可能,所以不存在
(Ⅲ)设M(x1,y1),N(x2,y2),A(x3,y3),B(x4,y4),
由(2)可得:|MN|=
|x1-x2|=
=
.
由
消去y,并整理得x2=
,
|AB|=
|x3-x4|=4
,∴
=4为定值.
点评:本题考查直线与圆锥曲线的位置关系,解题时要认真审题,注意合理地进行等价转化.
(Ⅱ)设l的方程为x=my+1,M(x1,y1),N(x2,y2),由
(Ⅲ)设M(x1,y1),N(x2,y2),A(x3,y3),B(x4,y4),由|MN|=
解答:解:(Ⅰ)椭圆的顶点为(0,
∴椭圆的标准方程为
(Ⅱ)不存在.设l的方程为x=my+1,M(x1,y1),N(x2,y2),则由
得(3m2+4)y2+6my-9=0所以
因为x1x2+y1y2=0⇒(m2+1)y1y2+m(y1+y2)+1=0
即
(Ⅲ)设M(x1,y1),N(x2,y2),A(x3,y3),B(x4,y4),
由(2)可得:|MN|=
由
|AB|=
点评:本题考查直线与圆锥曲线的位置关系,解题时要认真审题,注意合理地进行等价转化.
练习册系列答案
相关题目