题目内容
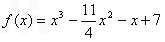
已知函数
,若
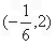
处取得极小值
.
(1)求实数
的值;
(2)求函数
的单调减区间.
(1)求实数
(2)求函数
解:(1 )
∴
(2)由(1)知,
∴
令
,
即
,
,得
∴单调减区间为
∴
(2)由(1)知,
∴
令
即
∴单调减区间为
练习册系列答案
相关题目