题目内容
已知向量(1)求
(2)求
【答案】分析:(1)由题意可得
=|
|•|
|•cos60°,运算求得结果.再由
+
=2
-2
,|
+
|=
=
,运算求得结果.
(2)先求得
的值,可得
的夹角.
解答:解:(1)由题意可得
=|
|•|
|•cos60°=2×1×
=1.
再由
+
=2
-2
,可得|
+
|=
=
=
=
=2
.
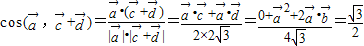
(2)
,所以
的夹角为300 .…(12分)
点评:本题主要考查两个向量的数量积的定义,求向量得模的方法,属于中档题.
(2)先求得
解答:解:(1)由题意可得
再由
(2)
点评:本题主要考查两个向量的数量积的定义,求向量得模的方法,属于中档题.
练习册系列答案
相关题目