题目内容
设双曲线
【答案】分析:双曲线
(a>0,b>0)的渐近线与抛物线y=x2+1相切?渐近线
,与抛物线的方程联立的
,得到
的△=0.再利用双曲线的离心率的计算公式即可得出.
解答:解:取双曲线
(a>0,b>0)的渐近线
,与抛物线的方程联立的
,得到
.
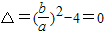
∵此条渐近线与抛物线y=x2+1相切,∴
,化为
.
∴该双曲线的离心率e=
=
.
故答案为
.
点评:熟练掌握直线与圆锥曲线相切?△=0、离心率的计算公式是解题的关键.
解答:解:取双曲线
∵此条渐近线与抛物线y=x2+1相切,∴
∴该双曲线的离心率e=
故答案为
点评:熟练掌握直线与圆锥曲线相切?△=0、离心率的计算公式是解题的关键.
练习册系列答案
相关题目