题目内容

在直角坐标系中,已知中心在原点,离心率为的椭圆E的一个焦点为圆的圆心.

⑴求椭圆E的方程;

⑵设P是椭圆E上一点,过P作两条斜率之积为的直线,当直线都与圆相切时,求P点坐标.

 

【答案】

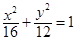
(1);(2)

【解析】

试题分析:(1)圆心坐标是已知的,故椭圆的焦点是已知的,从而半焦距已知了,又有离心率,故半长轴长也能求出,从而求出,而根据题意,椭圆方程是标准方程,可其方程易得;(2)设P点坐标为,再设一条切线的斜率为,则另一条切线的斜率为,三个未知数需要三个方程,点P在椭圆上,一个等式,两条直线都圆的切线,利用圆心到切线的距离等于圆的半径又得到两个等式,三个等量关系,三个未知数理论上可解了,当然具体解题时,可设切线斜率为,则点斜率式写出直线方程,利用圆心到切线距离等于圆半径得出关于的方程,而是这个方程的两解,由韦达定理得,这个结果又是,就列出了关于P点坐标的一个方程,再由P点在椭圆上,可解出P点坐标.

试题解析:(1)圆的标准方程为,圆心为,所以,又,而据题意椭圆的方程是标准方程,故其方程为.4分

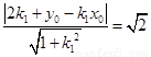
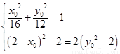
(2)设,得

,依题意的距离为

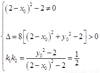
整理得同理

是方程的两实根10分

12分

14分

16分

考点:(1)椭圆的标准方程;(2)圆的切线.

 

练习册系列答案
相关题目

违法和不良信息举报电话:027-86699610 举报邮箱:58377363@163.com

精英家教网