题目内容
(本小题满分14分) 设是等差数列,是各项都为正数的等比数列,且,,。(Ⅰ)求,的通项公式;(Ⅱ)求数列的前n项和。
((本小题满分14分)A组.设是等差数列,是各项都为正数的等比数列,且.(1)求数列、的通项公式.(2)求数列的前项和B组.在数列中,已知:.(1)求证:数列是等比数列.(2)求数列的通项公式.(3)求和:.
(本题满分12分)
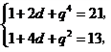
设是等差数列,是各项都为正数的等比数列,且,,.
(1)求,的通项公式;(2)求数列的前项和.
设是等差数列,是各项都为正数的等比数列,且,,(1)求,的通项公式;(2)求数列的前n项和.
(本小题满分14分)
设是等差数列,是各项都为正数的等比数列,且,,。
(Ⅰ)求,的通项公式;
(Ⅱ)求数列的前n项和。