题目内容
在数列{an}中,a1=2,an+1=4an-3n+1,n∈N*,
(1)证明:数列{an-n}是等比数列;
(2)求数列{an}的前n项和Sn。
(1)证明:数列{an-n}是等比数列;
(2)求数列{an}的前n项和Sn。
(1)证明:由题设
,,
又
,
所以,数列{an-n}是首项为1,且公比为4的等比数列。
(2)解:由(1)可知
,
于是数列{an}的通项公式为
,
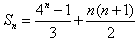
所以数列{an}的前n项和
。
又
所以,数列{an-n}是首项为1,且公比为4的等比数列。
(2)解:由(1)可知
于是数列{an}的通项公式为
所以数列{an}的前n项和
练习册系列答案
相关题目