题目内容
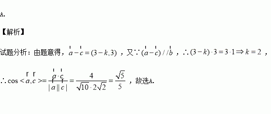
已知向量,,,若,则向量与向量的夹角的余弦值是( )
A. B. C. D.
设函数f (x)=x-lnx (x>0),则y=f (x)( )
A.在区间( ,1)、(1,e)内均有零点
B.在区间( ,1)、(1,e)内均无零点
C.在区间( ,1)内有零点,在区间(1,e)内无零点
D.在区间( ,1)内无零点,在区间(1,e)内有零点
过双曲线的右支上一点,分别向圆和圆作切线,切点分别为,则的最小值为( )
A. B. C. D.
如图所示,在四棱锥中,底面为菱形,且,,为的中点,.
(1)求证:平面平面;
(2)若,四棱锥的体积为,求三棱锥的体积.
已知数列是等比数列,若,则( )
A.有最大值 B.有最小值 C.有最大值 D.有最小值
已知全集,集合,,则等于( )
已知矩形,,点是的中点,将沿折起到的位置,使二面角是直二面角.
(1)证明:;
(2)求二面角的余弦值.
“”是“复数(其中是虚数单位)为纯虚数”的( )
A.充分而不必要条件 B.必要而不充分条件
C.充要条件 D.既不充分也不必要条件
若直线和直线平行,则的值为( )
A.1 B. C.1或 D.