题目内容

函数的最大值____________.

 

【答案】

.

【解析】

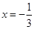
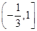
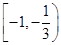
试题分析:,令,则,则,则,令,解得,列表如下:

极大值

故函数取得极大值,亦即最大值,即.

考点:1.换元法:2.利用导数求函数的最值

 

练习册系列答案
相关题目

违法和不良信息举报电话:027-86699610 举报邮箱:58377363@163.com

精英家教网