搜索
题目内容
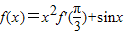
已知函数y=f(x)的导数为f′(x)且
,则
=
.
试题答案
相关练习册答案
【答案】
分析:
先对函数f(x)求导,然后令
,即可得出答案.
解答:
解:∵
,
∴
,
∴
,
∴
.
故答案为
.
点评:
正确求导和灵活对自变量取值是解题的关键.
练习册系列答案
波波熊快乐暑假广西师范大学出版社系列答案
帮你学暑假作业科学普及出版社系列答案
通城学典暑期升级训练延边大学出版社系列答案
聪明屋寒暑假作业系列丛书暑假作业系列答案
暑假专题集训江苏人民出版社系列答案
优等生快乐暑假云南人民出版社系列答案
暑假学习生活译林出版社系列答案
成长记初中假期作业暑假云南教育出版社系列答案
暑假生活上海教育出版社系列答案
暑假天地重庆出版社系列答案
相关题目
16、已知函数y=f(x)是R上的奇函数且在[0,+∞)上是增函数,若f(a+2)+f(a)>0,求a的取值范围.
2、已知函数y=f(x+1)的图象过点(3,2),则函数f(x)的图象关于x轴的对称图形一定过点( )
A、(2,-2)
B、(2,2)
C、(-4,2)
D、(4,-2)
已知函数y=f(x)是偶函数,当x<0时,f(x)=x(1-x),那么当x>0时,f(x)=
-x(1+x)
-x(1+x)
.
已知函数y=f(x)是定义在R上的奇函数,当x>0 时,f(x)的图象如图所示,则不等式x[f(x)-f(-x)]≤0 的解集为
[-3,3]
[-3,3]
.
已知函数y=f(x)的图象如图,则满足
f(
lo
g
2
(x-1)
)•f(
2
-
x
2
-1
)≥0
的x的取值范围为
(1,3]
(1,3]
.
关 闭
试题分类
高中
数学
英语
物理
化学
生物
地理
初中
数学
英语
物理
化学
生物
地理
小学
数学
英语
其他
阅读理解答案
已回答习题
未回答习题
题目汇总
试卷汇总
练习册解析答案