题目内容
求抛物线y=x2的过点
的切线方程。
解:设此切线过抛物线上的点
,由导数的意义知此切线的斜率为2x0,
又因为此切线过点
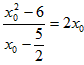
和点(x0,x02),其斜率应满足
,
由此x0应满足
,解得x0=2或3,
即切线过抛物线y=x2上的点为(2,4)或(3,9),
所以切线方程为y-4=4(x-2)或y-9=6(x-3),
化简得y=4x-4或y=6x-9,此即是所求的切线方程。
又因为此切线过点
由此x0应满足
即切线过抛物线y=x2上的点为(2,4)或(3,9),
所以切线方程为y-4=4(x-2)或y-9=6(x-3),
化简得y=4x-4或y=6x-9,此即是所求的切线方程。
练习册系列答案
相关题目