题目内容
计算:(1)
(2)
【答案】分析:(1)直接利用对数的运算性质求得
的值.
(2)利用根式与分数指数幂的互化,分数指数幂的运算性质求得
的值.
解答:解:(1)
=
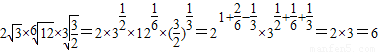
(2)
点评:本题主要考查根式与分数指数幂的互化,分数指数幂的运算性质、以及对数的运算性质的应用,属于基础题.
(2)利用根式与分数指数幂的互化,分数指数幂的运算性质求得
解答:解:(1)
(2)
点评:本题主要考查根式与分数指数幂的互化,分数指数幂的运算性质、以及对数的运算性质的应用,属于基础题.
练习册系列答案
相关题目