题目内容
已知函数
.
(Ⅰ) 求函数f(x)的单调区间;
(Ⅱ) 证明: 对任意的t>0, 存在唯一的s, 使
.
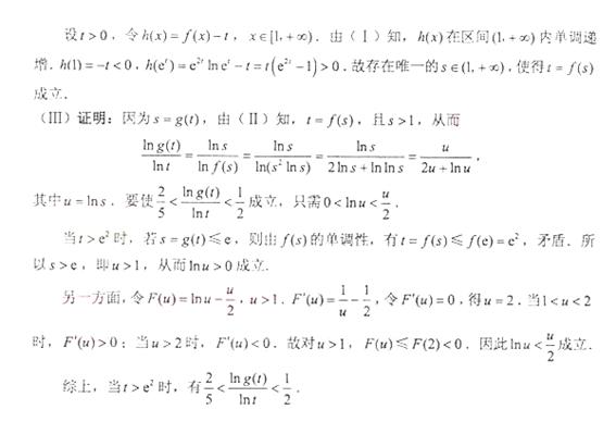
(Ⅲ) 设(Ⅱ)中所确定的s关于t的函数为
, 证明: 当
时, 有![]()
练习册系列答案
相关题目
| π |
| 2 |
A、f(x)=2sin(
| ||||
B、f(x)=2sin(
| ||||
C、f(x)=2sin(2x-
| ||||
D、f(x)=2sin(2x+
|
题目内容
已知函数
.
(Ⅰ) 求函数f(x)的单调区间;
(Ⅱ) 证明: 对任意的t>0, 存在唯一的s, 使
.
(Ⅲ) 设(Ⅱ)中所确定的s关于t的函数为
, 证明: 当
时, 有![]()
| π |
| 2 |
A、f(x)=2sin(
| ||||
B、f(x)=2sin(
| ||||
C、f(x)=2sin(2x-
| ||||
D、f(x)=2sin(2x+
|