题目内容


曲线Cy=2x3-3x2-2x+1,点P,求过P的切线lC围成的图形的面积.


解析 设切点坐标为(x0y0)

y′=6x2-6x-2,

y′|xx0=6x-6x0-2,

切线方程为y=(6x-6x0-2)

y0=(6x-6x0-2)

即2x-3x-2x0+1=(6x-6x0-2).

整理得x0(4x-6x0+3)=0,

解得x0=0,则切线方程为y=-2x+1.

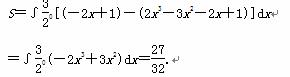
y=2x3-3x2-2x+1与y=-2x+1的图象可知


练习册系列答案
相关题目

违法和不良信息举报电话:027-86699610 举报邮箱:58377363@163.com

精英家教网