题目内容
下列函数中,最小正周期为
的偶函数为( )
(A)
(B)![]()
(C)
(D)![]()
【答案】
A
【解析】
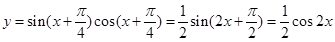
试题分析:这种问题首先应该把函数化简,
,
,
,这时会发现只有A是偶函数,当然它的最小正周期也是
,只能选A.
考点:最小正周期,函数的奇偶性.
练习册系列答案
相关题目
下列函数中,最小正周期为
的是( )
| π |
| 2 |
A、y=sin(2x-
| ||
B、y=tan(2x-
| ||
C、y=cos(2x+
| ||
D、y=tan(4x+
|