题目内容

已知四边形ABCD中,=(6,1),=(x,y),=(-2,-3),若,则x,y之间的关系是   
【答案】分析:利用向量运算和向量共线定理即可得出.
解答:解:∵=(6,1)+(x,y)+(-2,-3)=(4+x,y-2),
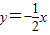
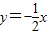
∴x(y-2)-y(4+x)=0,化为
故答案为
点评:熟练掌握向量运算和向量共线定理是解题的关键.
练习册系列答案
相关题目

违法和不良信息举报电话:027-86699610 举报邮箱:58377363@163.com

精英家教网