题目内容
已知a∈R,函数(1)当a=1时,求曲线y=f(x)在点(2,f(2))处的切线方程;
(2)求f(x)在区间(0,e]上的最小值.
【答案】分析:(1)把a=1代入到f(x)中化简得到f(x)的解析式,求出f'(x),因为曲线的切点为(2,f(2)),所以把x=2代入到f'(x)中求出切线的斜率,把x=2代入到f(x)中求出f(2)的值得到切点坐标,根据切点和斜率写出切线方程即可;
(2)借助于导数,将函数
的最值问题转化为导函数进行研究.此题只须求出函数的导函数,利用导数求解.
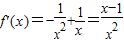
解答:解:(1)当a=1时,
,x∈(0,+∞),
所以
,x∈(0,+∞).…(2分)
因此
.
即曲线y=f(x)在点(2,f(2))处的切线斜率为
.…(4分)
又
,
所以曲线y=f(x)在点(2,f(2))处的切线方程为
,
即x-4y+4ln2-4=0.…(6分)
(2)因为
,所以
.
令f'(x)=0,得x=a. …(8分)
①若a≤0,则f'(x)>0,f(x)在区间(0,e]上单调递增,此时函数f(x)无最小值.
②若0<a<e,当x∈(0,a)时,f'(x)<0,函数f(x)在区间(0,a)上单调递减,
当x∈(a,e]时,f'(x)>0,函数f(x)在区间(a,e]上单调递增,
所以当x=a时,函数f(x)取得最小值lna.…(10分)
③若a≥e,则当x∈(0,e]时,f'(x)≤0,函数f(x)在区间(0,e]上单调递减,
所以当x=e时,函数f(x)取得最小值
.…(12分)
综上可知,当a≤0时,函数f(x)在区间(0,e]上无最小值;
当0<a<e时,函数f(x)在区间(0,e]上的最小值为lna;
当a≥e时,函数f(x)在区间(0,e]上的最小值为
.…(13分)
点评:考查学生会利用导数求曲线上过某点切线方程的斜率,会利用导数研究函数的单调性以及根据函数的增减性得到函数的极值.灵活运用分类讨论的数学思想解决数学问题.本题考查利用导数研究函数的极值,导数的引入,为研究函数的极值与最值带来了方便.
(2)借助于导数,将函数
解答:解:(1)当a=1时,
所以
因此
即曲线y=f(x)在点(2,f(2))处的切线斜率为
又
所以曲线y=f(x)在点(2,f(2))处的切线方程为
即x-4y+4ln2-4=0.…(6分)
(2)因为
令f'(x)=0,得x=a. …(8分)
①若a≤0,则f'(x)>0,f(x)在区间(0,e]上单调递增,此时函数f(x)无最小值.
②若0<a<e,当x∈(0,a)时,f'(x)<0,函数f(x)在区间(0,a)上单调递减,
当x∈(a,e]时,f'(x)>0,函数f(x)在区间(a,e]上单调递增,
所以当x=a时,函数f(x)取得最小值lna.…(10分)
③若a≥e,则当x∈(0,e]时,f'(x)≤0,函数f(x)在区间(0,e]上单调递减,
所以当x=e时,函数f(x)取得最小值
综上可知,当a≤0时,函数f(x)在区间(0,e]上无最小值;
当0<a<e时,函数f(x)在区间(0,e]上的最小值为lna;
当a≥e时,函数f(x)在区间(0,e]上的最小值为
点评:考查学生会利用导数求曲线上过某点切线方程的斜率,会利用导数研究函数的单调性以及根据函数的增减性得到函数的极值.灵活运用分类讨论的数学思想解决数学问题.本题考查利用导数研究函数的极值,导数的引入,为研究函数的极值与最值带来了方便.
练习册系列答案
相关题目