题目内容
数列{an}是首项a1=4的等比数列,且S3,S2,S4成等差数列。
(1)求数列{an}的通项公式;
(2)设bn=log2|an|,Tn为数列
的前n项和,求Tn。
(1)求数列{an}的通项公式;
(2)设bn=log2|an|,Tn为数列
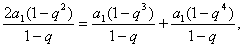
解:(1)当q=1时,
不成等差数列
当q≠1时,
得
∴
∴
∴
。
(2)

∴
。
当q≠1时,
得
∴
∴
∴
(2)
∴
练习册系列答案
相关题目
设数列{an}是首项为a1公差为-2的等差数列,如果a1+a4+a7=50,那么a3+a6+a9=( )
| A、28 | B、-78 | C、-48 | D、38 |