题目内容
已知数列{an}满足(1)求数列{an}的通项公式;
(2)设bn=n•2nan,求数列{bn}的前n项和Sn;
(3)设cn=
【答案】分析:(1)利用
,可得数列{
}是以1为首项,1为公差的等差数列,从而可求数列{an}的通项公式;
(2)利用错位相减法,即可求数列{bn}的前n项和Sn;
(3)利用裂项法求数列的和,即可证得结论.
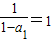
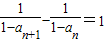
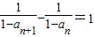
解答:(1)解:∵a1=0,∴
∵
∴数列{
}是以1为首项,1为公差的等差数列
∴
=n,∴an=
;
(2)解:bn=n•2nan=(n-1)•2n,
∴Sn=1•22+2•23+…+(n-1)•2n,
∴2Sn=1•23+2•24+…+(n-2)•2n+(n-1)•2n+1,
两式相减可得-Sn=1•22+1•23+…+1•2n-(n-1)•2n+1,
∴Sn=4+(n-2)•2n+1;
(3)证明:cn=
=
,
∴Tn=
=
+…+
=
<1,
∴Tn<1.
点评:本题考查等差数列的判定,考查数列的通项与求和,考查裂项法的运用,考查学生的计算能力,属于中档题.
(2)利用错位相减法,即可求数列{bn}的前n项和Sn;
(3)利用裂项法求数列的和,即可证得结论.
解答:(1)解:∵a1=0,∴
∵
∴数列{
∴
(2)解:bn=n•2nan=(n-1)•2n,
∴Sn=1•22+2•23+…+(n-1)•2n,
∴2Sn=1•23+2•24+…+(n-2)•2n+(n-1)•2n+1,
两式相减可得-Sn=1•22+1•23+…+1•2n-(n-1)•2n+1,
∴Sn=4+(n-2)•2n+1;
(3)证明:cn=
∴Tn=
∴Tn<1.
点评:本题考查等差数列的判定,考查数列的通项与求和,考查裂项法的运用,考查学生的计算能力,属于中档题.
练习册系列答案
相关题目