题目内容
已知实数a,b满足等式
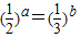
【答案】分析:令
=t则根据指数式与对数式的互化可得a=
,b=
然后在统一直角坐标系中作出y=
,y=
的图象则根据图象即可比较出a,b的大小.
解答:
解:令
=t
则a=
,b=
在同一直角坐标系中作出则y=
,y=
的图象(如右图):
则根据图象可得当0<t<1时0<b<a
当t=1时a=b
当t>l时a<b<0
故答案为①②⑤
点评:本题主要考察了对数函数的性质,属中等题目.解题的关键是利用指数式与对数式的互化将a,b的大小比较转化为比较对数值
,
的大小!
解答:
则a=
在同一直角坐标系中作出则y=
则根据图象可得当0<t<1时0<b<a
当t=1时a=b
当t>l时a<b<0
故答案为①②⑤
点评:本题主要考察了对数函数的性质,属中等题目.解题的关键是利用指数式与对数式的互化将a,b的大小比较转化为比较对数值
练习册系列答案
相关题目
已知实数a、b满足条件:ab<0,且1是a2与b2的等比中项,又是
,
的等差中项,则
的值是( )
| 1 |
| a |
| 1 |
| b |
| a+b |
| a2+b2 |
A、
| ||
B、-
| ||
C、
| ||
D、-
|