题目内容
设三棱柱的侧棱垂直于底面,所有棱的长都为a,顶点都在一个球面上,则该球的表面积为 .
【答案】分析:由题意可知上下底面中心连线的中点就是球心,求出球的半径,即可求出球的表面积.
解答:
解:根据题意条件可知三棱柱是棱长都为a的正三棱柱,设上下底面中心连线EF的中点O,则O就是球心,
则其外接球的半径为OA1,又设D为A1C1中点,在直角三角形EDA1中,EA1=
=
在直角三角形ODA1中,OE=
,由勾股定理
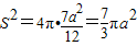
∴
,
球的表面积为
,
故答案为:
.
点评:本题主要考查空间几何体中位置关系、球和正棱柱的性质以及相应的运算能力和空间形象能力.
解答:
则其外接球的半径为OA1,又设D为A1C1中点,在直角三角形EDA1中,EA1=
在直角三角形ODA1中,OE=
∴
球的表面积为
故答案为:
点评:本题主要考查空间几何体中位置关系、球和正棱柱的性质以及相应的运算能力和空间形象能力.
练习册系列答案
相关题目
设三棱柱的侧棱垂直于底面,所有棱长都为a,顶点都在一个球面上,则该球的表面积为( )
| A、πa2 | ||
B、
| ||
C、
| ||
| D、5πa2 |