题目内容
设F1,F2是椭圆E:(1)求|AB|;
(2)若直线l的斜率为1,求椭圆E的方程.
【答案】分析:(1)由等差数列的定义得到2|AB|=|AF2|+|BF2|,由椭圆定义知|AF2|+|AB|+|BF2|=4a,两式联立可求
|AB|;
(2)写出直线方程,和椭圆方程联立后利用弦长公式求出|AB|,和(1)中求出的|AB|联立求解a的值,则椭圆E的方程可求.
解答:解:(1)由|AF2|,|AB|,|BF2|成等差数列,
得2|AB|=|AF2|+|BF2|,由椭圆定义知|AF2|+|AB|+|BF2|=4a.
所以3|AB|=4a,|AB|=
;
(2)由题意设直线l的方程为y=x+c.
联立
,得(2a2+1)x2+4a2cx+2a2c2-a2=0
则
.
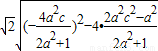
所以|AB|=
=
=
=
.
解得:a2=2.
代入△满足△>0成立.
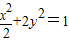
所以椭圆方程为
.
点评:本题考查了椭圆的定义,考查了椭圆的标准方程,训练了弦长公式的用法,考查了学生的计算能力,是中档题.
|AB|;
(2)写出直线方程,和椭圆方程联立后利用弦长公式求出|AB|,和(1)中求出的|AB|联立求解a的值,则椭圆E的方程可求.
解答:解:(1)由|AF2|,|AB|,|BF2|成等差数列,
得2|AB|=|AF2|+|BF2|,由椭圆定义知|AF2|+|AB|+|BF2|=4a.
所以3|AB|=4a,|AB|=
(2)由题意设直线l的方程为y=x+c.
联立
则
所以|AB|=
=
=
解得:a2=2.
代入△满足△>0成立.
所以椭圆方程为
点评:本题考查了椭圆的定义,考查了椭圆的标准方程,训练了弦长公式的用法,考查了学生的计算能力,是中档题.
练习册系列答案
相关题目