题目内容
已知数列{an}的首项a1=(Ⅰ)求证:数列{
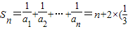
(Ⅱ)记Sn=
【答案】分析:(Ⅰ)利用数列递推式,变形可得
,从而可证数列{
}为等比数列;
(Ⅱ)确定数列的通项,利用等比数列的求和公式求和,即可求最大的正整数n.
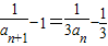
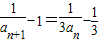
解答:(Ⅰ)证明:∵
,∴
,
∵
,∴
∈N+),
∴数列{
}为等比数列.
(Ⅱ)解:由(Ⅰ)可求得
,∴

=
,
若Sn<100,则n+1-
,
∴nmax=99.
点评:本题考查数列递推式,考查等比数列的证明,考查等比数列的求和公式,属于中档题.
(Ⅱ)确定数列的通项,利用等比数列的求和公式求和,即可求最大的正整数n.
解答:(Ⅰ)证明:∵
∵
∴数列{
(Ⅱ)解:由(Ⅰ)可求得
若Sn<100,则n+1-
∴nmax=99.
点评:本题考查数列递推式,考查等比数列的证明,考查等比数列的求和公式,属于中档题.
练习册系列答案
相关题目