题目内容
设{an}是公比大于1的等比数列,Sn为数列{an}的前n项和.已知S3=7,且a1+3,3a2,a3+4构成等差数列,
(1)求数列{an}的通项公式;
(2)令bn=lna3n+1,n=1,2,3,…,求数列{bn}的前n项和Tn。
(1)求数列{an}的通项公式;
(2)令bn=lna3n+1,n=1,2,3,…,求数列{bn}的前n项和Tn。
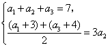
解:(1)由已知得
,解得
,
设数列
的公比为q,由
,可得
,
又
,
可知
,即
,解得
,
由题意得q>1,∴q=2,
∴
,
故数列
的通项为
。
(2)由于![]()
由(1)得
,
∴
,
∴![]()
。
练习册系列答案
相关题目