搜索
题目内容
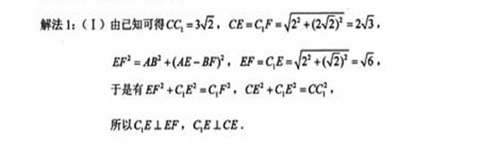
如图,已知正三棱柱
-
的底面边长为2,侧棱长为
,点E在侧棱
上,点F在侧棱
上,且
,
.
(I) 求证:
;
(II) 求证:
。
试题答案
相关练习册答案
,
练习册系列答案
全国68所名牌小学毕业升学真卷精编系列答案
千里马口算天天练系列答案
小学毕业升学完全试卷系列答案
学情研测新标准系列答案
状元坊小学毕业总复习系列答案
语文阅读训练系列答案
点对点决胜中考系列答案
填充练习册系列答案
阅读导航系列答案
教材3D解读系列答案
相关题目
14、如图,已知正三棱柱ABC-A
1
B
1
C
1
的底面边长为1,高为8,一质点自A点出发,沿着三棱柱的侧面绕行两周到达A
1
点的最短路线的长为
10
.
如图,已知正三棱柱ABC-A
1
B
1
C
1
(底面是正三角形,侧棱垂直底面)异面直线AC与B
1
C
1
所成的角是
60°
60°
.
如图,已知正三棱柱ABC-A
1
B
1
C
1
的各条棱长都为a,P为A
1
B上的点.
(1)试确定
A
1
P
PB
的值,使得PC⊥AB;
(2)若
A
1
P
PB
=
2
3
,求二面角P-AC-B的大小;
(3)在(2)的条件下,求C
1
到平面PAC的距离.
(2011•盐城模拟)如图,已知正三棱柱ABC-A
1
B
1
C
1
中,D是BC的中点.
(1)求证:平面AB
1
D⊥平面B
1
BCC
1
;
(2)求证:A
1
C∥平面AB
1
D.
(2009•淮安模拟)如图,已知正三棱柱ABC-A
1
B
1
C
1
的所有棱长都为2,D为CC
1
中点,试用空间向量知识解下列问题:
(1)求证:AB
1
⊥平面A
1
BD;
(2)求二面角A-A
1
D-B的余弦值大小.
关 闭
试题分类
高中
数学
英语
物理
化学
生物
地理
初中
数学
英语
物理
化学
生物
地理
小学
数学
英语
其他
阅读理解答案
已回答习题
未回答习题
题目汇总
试卷汇总
练习册解析答案