题目内容
已知椭圆(a>b>0),点P(,)在椭圆上。
(I)求椭圆的离心率。
(II)设A为椭圆的右顶点,O为坐标原点,若Q在椭圆上且满足|AQ|=|AO|求直线的斜率的值。
已知椭圆+=1 (a>b>0)的左焦点到右准线的距离为,中心到准线的距离为,则椭圆的方程为__________.
(本小题满分14分)
已知椭圆(a>b>0)的离心率e=,连接椭圆的四个顶点得到的菱形的面积为4.
(Ⅰ)求椭圆的方程;
(Ⅱ)设直线l与椭圆相交于不同的两点A、B,已知点A的坐标为(-a,0).
(i)若,求直线l的倾斜角;
(ii)若点Q在线段AB的垂直平分线上,且.求的值.
已知椭圆C: (a>b>0)的两个焦点和短轴的两个端点都在圆上.
(I)求椭圆C的方程;
(II)若斜率为k的直线过点M(2,0),且与椭圆C相交于A, B两点.试探讨k为何值时,三角形OAB为直角三角形.
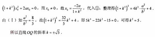
已知椭圆(a>b>0),点在椭圆上。
(II)设A为椭圆的右顶点,O为坐标原点,若Q在椭圆上且满足|AQ|=|AO|,求直线OQ的斜率的值。
【考点定位】本小题主要考查椭圆的标准方程和几何性质、直线的方程、平面内两点间距离公式等基础知识. 考查用代数方法研究圆锥曲线的性质,以及数形结合的数学思想方法.考查运算求解能力、综合分析和解决问题的能力.
(Ⅱ)设直线l与椭圆相交于不同的两点A、B,已知点A的坐标为