题目内容

四棱锥中,⊥底面,,, .

(Ⅰ)求证:⊥平面;

(Ⅱ)若侧棱上的点满足,求三棱锥的体积.

 

【答案】

(Ⅰ)见解析;(Ⅱ).

【解析】

试题分析:(Ⅰ)通过在平面PAC内证明PA和AC均与BD垂直,由线面垂直的判定定理得出结论;(Ⅱ)由割补法知,故先求.处理的关键是利用图形分割.

试题解析:(Ⅰ)证明:因为BC=CD,即为等腰三角形,又,故.

因为底面,所以,从而与平面内两条相交直线都垂直,

⊥平面.

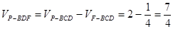
(Ⅱ)解:.

底面.

得三棱锥的高为,

故:

考点:1.直线与平面垂直的判定;2.几何体体积的求法

 

练习册系列答案
相关题目

违法和不良信息举报电话:027-86699610 举报邮箱:58377363@163.com

精英家教网