题目内容
在正方体ABCD-A1B1C1D1中,O是AC的中点,E是线段D1O上一点,且D1E=λEO.(1)若λ=1,求异面直线DE与CD1所成角的余弦值;
(2)若平面CDE⊥平面CD1O,求λ的值.
【答案】分析:本题背景是一个正方体,故可以建立空间坐标系解题,以以
为单位正交基底建立如图所示的空间直角坐标系D-xyz,写出各点的坐标,
(1)求出异面直线DE与CD1的方向向量用数量积公式两线夹角的余弦值(或补角的余弦值)
(2)求出两个平面的法向量,由于两个平面垂直,故它们的法向量的内积为0,由此方程求参数λ的值即可.
解答:
解(1)不妨设正方体的棱长为1,以
为单位正交基底建立如图所示的空间直角坐标系D-xyz.
则A(1,0,0),
,C(0,1,0),D1(0,0,1),
E
,
于是
,
.
由cos
=
=
.
所以异面直线AE与CD1所成角的余弦值为
.(5分)
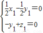
(2)设平面CD1O的向量为m=(x1,y1,z1),由m•
=0,m•
=0
得
取x1=1,得y1=z1=1,即m=(1,1,1).(7分)
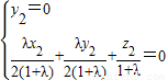
由D1E=λEO,则E
,
=
.
又设平面CDE的法向量为n=(x2,y2,z2),由n•
=0,n•
=0.
得
取x2=2,得z2=-λ,即n=(-2,0,λ).
因为平面CDE⊥平面CD1F,所以m•n=0,得λ=2.(10分)
点评:本题查了异面直线所成的角以及两个平面垂直的问题,本题采用向量法来研究线线,面面的问题,这是空间向量的一个重要运用,大大降低了求解立体几何问题的难度.
(1)求出异面直线DE与CD1的方向向量用数量积公式两线夹角的余弦值(或补角的余弦值)
(2)求出两个平面的法向量,由于两个平面垂直,故它们的法向量的内积为0,由此方程求参数λ的值即可.
解答:
为单位正交基底建立如图所示的空间直角坐标系D-xyz.
则A(1,0,0),
E
于是
由cos
所以异面直线AE与CD1所成角的余弦值为
(2)设平面CD1O的向量为m=(x1,y1,z1),由m•
得
由D1E=λEO,则E
又设平面CDE的法向量为n=(x2,y2,z2),由n•
得
因为平面CDE⊥平面CD1F,所以m•n=0,得λ=2.(10分)
点评:本题查了异面直线所成的角以及两个平面垂直的问题,本题采用向量法来研究线线,面面的问题,这是空间向量的一个重要运用,大大降低了求解立体几何问题的难度.
练习册系列答案
相关题目