题目内容
(1)证明函数 f(x)=x+(2)求f(x)在[4,8]上的值域.
【答案】分析:(1)用定义证明,则先在给定的区间上任取两个变量,且界大小,再作差变形看符号,若自变量与相应函数值变化一致,则为增函数,若自变量变化与相应函数值变化相反时,则为减函数.
(2)已经知道f(x)为增函数,根据函数的单调性,可以求出其值域;
解答:证明:(1)设2<x1<x2,则
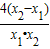
f(x1)-f(x2)=x1+
-x2-
=x1-x2+
=(x1-x2)(1-
)
∵2<x1<x2
∴x1-x2<0,x1x2>4即0<
<1,
∴1-
>0,
∴f(x1)-f(x2)<0,即f(x1)<f(x2)
∴f(x)是增函数;
(2)由(1)知f(x)在[4,8]上是增函数,
f(x)max=f(8)=
;
f(x)min=f(4)=5,
∴f(x)的值域为:[5,
];
点评:本题主要考查用单调性定义如何来证明函数单调性的,要注意几点:一是自变量的任意性,二是来自相应的区间,三是变形要到位,要用上已知条件;
(2)已经知道f(x)为增函数,根据函数的单调性,可以求出其值域;
解答:证明:(1)设2<x1<x2,则
f(x1)-f(x2)=x1+
=(x1-x2)(1-
∵2<x1<x2
∴x1-x2<0,x1x2>4即0<
∴1-
∴f(x1)-f(x2)<0,即f(x1)<f(x2)
∴f(x)是增函数;
(2)由(1)知f(x)在[4,8]上是增函数,
f(x)max=f(8)=
f(x)min=f(4)=5,
∴f(x)的值域为:[5,
点评:本题主要考查用单调性定义如何来证明函数单调性的,要注意几点:一是自变量的任意性,二是来自相应的区间,三是变形要到位,要用上已知条件;
练习册系列答案
相关题目