题目内容
已知
,
,
(1)求
的最大值
;
(2)求
的最小值。
【答案】
(1)
(2)
![]()
【解析】
试题分析:
(1)由
,将函数的对称轴与区间联系起来,分类讨论,可求
的最大值;
(2)由
,分段求出函数的最大值,比较即可得到函数
的最小值;
试题解析:
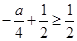
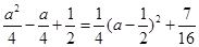
(1)由
知
对称轴
,又![]()
①当
即
时, ![]()
②当
即
时, ![]()
③当
即
时, ![]()
所以![]()
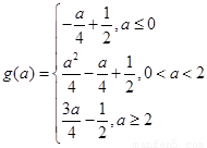
(2) ①当
时, ![]()
②当
时, ![]()
③当
即
时, ![]()
综上所述: ![]()
考点:二次函数的性质、二次函数在闭区间上的最值;分段函数最值;分类讨论思想.
练习册系列答案
相关题目