题目内容
如图,在四边形ABCD中,AB=3,AD=BC=CD=2,A=60°,
(Ⅰ)求sin∠ABD的值;
(Ⅱ)求△BCD的面积.
(Ⅰ)求sin∠ABD的值;
(Ⅱ)求△BCD的面积.
解:(Ⅰ)已知A=60°,由余弦定理得BD2=AB2+AD2-2AB·ADcosA=7,
解得BD=
,
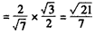
由正弦定理,
,
所以,
。
(Ⅱ)在△BCD中,BD2=BC2+CD2-2BC·CDcosC,
所以,7=4+4-2×2×2cosC,cosC=
,
因为C∈(0,π),所以,
,
所以,△BCD的面积S=
。
解得BD=
由正弦定理,
所以,
(Ⅱ)在△BCD中,BD2=BC2+CD2-2BC·CDcosC,
所以,7=4+4-2×2×2cosC,cosC=
因为C∈(0,π),所以,
所以,△BCD的面积S=
练习册系列答案
相关题目