题目内容
假设在时间
内的任何时刻,两条不相关的短信机会均等地进入同一台手机,若这两条短
信进入手机的间隔时间不大于![]()
,则手机受到干扰,求手机受到干扰的概率
![]()
解析:
设两条短信进入手机的时刻分别为
,则总样本空间为![]()
记手机受到干扰为事件
,则事件
包含的样本空间为
,
即
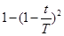
,如图所示,
![]()
事件
所含样本空间是黄色的阴影部分
,
,
,![]()
所以![]()
![]()
从而事件
发生的概率![]()
![]()
![]()
练习册系列答案
相关题目
题目内容
假设在时间
内的任何时刻,两条不相关的短信机会均等地进入同一台手机,若这两条短
信进入手机的间隔时间不大于![]()
,则手机受到干扰,求手机受到干扰的概率
![]()
设两条短信进入手机的时刻分别为
,则总样本空间为![]()
记手机受到干扰为事件
,则事件
包含的样本空间为
,
即
,如图所示,
![]()
事件
所含样本空间是黄色的阴影部分
,
,
,![]()
所以![]()
![]()
从而事件
发生的概率![]()
![]()
![]()