题目内容


已知△ABC的两顶点坐标A(-1,0),B(1,0),圆E是△ABC的内切圆,在边ACBCAB上的切点分别为PQR,|CP|=1(从圆外一点到圆的两条切线长相等),动点C的轨迹为曲线M.

(1)求曲线M的方程;

(2)设直线BC与曲线M的另一交点为D,当点A在以线段CD为直径的圆上时,求直线BC的方程.


解:(1)由题知,|CA|+|CB|=|CP|+|CQ|+|AP|+|BQ|=2|CP|+|AB|=4>|AB|,∴曲线M是以AB为焦点,长轴长为4的椭圆(除去与x轴的交点).

设曲线M=1(a>0>0,y≠0),则2a=4,2c=2,∴a=2,c=1,b2a2c2=3.

∴曲线M=1(y≠0).

(2)注意到直线BC的斜率不为0,且过定点B(1,0),

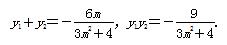
设直线BCxmy+1,C(x1y1),D(x2y2).

消去x,得

(3m2+4)y2+6my-9=0.

Δ=36m2+36(3m2+4)>0.

=(my1+2,y1),=(my2+2,y2),

=(my1+2)(my2+2)+y1y2

=(m2+1)y1y2+2m(y1y2)+4

∵点A在以CD为直径的圆上,

=0,∴m=±.

∴直线BC的方程为3xy-3=0或3xy-3=0.

练习册系列答案
相关题目

违法和不良信息举报电话:027-86699610 举报邮箱:58377363@163.com

精英家教网