题目内容
在数列{an}中,a1=1,an+1=2an+2n.(Ⅰ)设bn=
(Ⅱ)求数列{an}的前n项和Sn.
【答案】分析:(1)由an+1=2an+2n构造可得
即数列{bn}为等差数列
(2)由(1)可求
=n,从而可得an=n•2n-1 利用错位相减求数列{an}的和
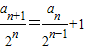
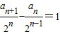
解答:解:由an+1=2an+2n.两边同除以2n得
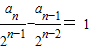
∴
,即bn+1-bn=1
∴{bn}以1为首项,1为公差的等差数列
(2)由(1)得
∴an=n•2n-1
Sn=2+2×21+3×22+…+n•2n-1
2Sn=21+2×22+…+(n-1)•2n-1+n•2n
∴-Sn=2+21+22+…+2n-1-n•2n
=
∴Sn=(n-1)•2n+1
点评:本题考查利用构造法构造特殊的等差等比数列及错位相减求数列的和,构造法求数列的通项及错位相减求数列的和是数列部分的重点及热点,要注意该方法的掌握.
(2)由(1)可求
解答:解:由an+1=2an+2n.两边同除以2n得
∴
∴{bn}以1为首项,1为公差的等差数列
(2)由(1)得
∴an=n•2n-1
Sn=2+2×21+3×22+…+n•2n-1
2Sn=21+2×22+…+(n-1)•2n-1+n•2n
∴-Sn=2+21+22+…+2n-1-n•2n
=
∴Sn=(n-1)•2n+1
点评:本题考查利用构造法构造特殊的等差等比数列及错位相减求数列的和,构造法求数列的通项及错位相减求数列的和是数列部分的重点及热点,要注意该方法的掌握.
练习册系列答案
相关题目