题目内容
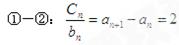
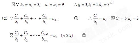
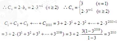
已知等差数列的首项,公差.且分别是等比数列的. (1)求数列与的通项公式;(2)设数列对任意自然数均有:成立.求的值。
解析
已知等差数列的首项,公差.且分别是等比数列的.
(1)求数列与的通项公式;
(2)设数列对任意自然数均有 成立,求的值.
已知等差数列的首项,公差.且分别是等比数列的.
(Ⅰ)求数列与的通项公式;
(Ⅱ)设数列对任意自然数均有 成立,求 的值.
已知等差数列的首项为,公差为,其前项和为,若直线与圆的两个交点关于直线对称,则=
(本题满分12分)
已知等差数列的首项为,公差为b,且不等式的解集为 .
(1)求数列的通项公式及前n项和公式 ;
(2)求数列的前n项和Tn .