题目内容

已知三点.

(1)求向量和向量的坐标;

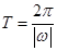
(2)设,求的最小正周期;

(3)求的单调递减区间.

 

【答案】

(1)

(2)的最小正周期为;(3)函数的单调递减区间为.

【解析】

试题分析:(1)利用向量的坐标运算直接求出向量和向量的坐标;(2)利用平面向量的数量积的坐标运算求函数的解析式,并利用二倍角公式与辅助角公式将函数解析式为

然后利用周期公式的最小正周期;(3)在的前提下,解不等式

得到函数的单调递增区间.

试题解析:(1)

(2)

 

的最小正周期

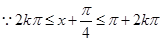
(3)

的单调递减区间是.

考点:1.平面向量的坐标运算;2.三角函数的周期;3.二倍角公式;4.辅助角公式;5.三角函数的单调区间

 

练习册系列答案
相关题目

违法和不良信息举报电话:027-86699610 举报邮箱:58377363@163.com

精英家教网