搜索
题目内容
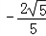
已知α是第二象限的角,tanα=
,则cosα=( )
试题答案
相关练习册答案
练习册系列答案
名校课堂系列答案
西城学科专项测试系列答案
小考必做系列答案
小考实战系列答案
小考复习精要系列答案
小考总动员系列答案
小升初必备冲刺48天系列答案
68所名校图书小升初高分夺冠真卷系列答案
伴你成长周周练月月测系列答案
小升初金卷导练系列答案
相关题目
已知a是第二象限的角,tan(π+2α)=-
4
3
,则tanα=
.
已知x是第二象限的角,则函数
y=
sinx
|sinx|
+
|cosx|
cosx
+
tanx
|tanx|
的值是( )
A.-1
B.3
C.2
D.-3
已知sinα=
,α是第二象限的角,且tan(α+β)=1,则tanβ的值为________.
已知sin
,
是第二象限的角,且tan(
)=1,则tan
的值为____
已知a是第二象限的角,tan(π+2a)=-
,则tana=
.
关 闭
试题分类
高中
数学
英语
物理
化学
生物
地理
初中
数学
英语
物理
化学
生物
地理
小学
数学
英语
其他
阅读理解答案
已回答习题
未回答习题
题目汇总
试卷汇总
练习册解析答案