题目内容
在数列{an}中,a1=
【答案】分析:利用“取倒数法”和等差数列的通项公式即可得出.
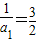
解答:解:∵a1=
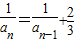
,且满足an=
(n≥2),∴
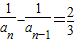
,即
.
∴数列{
}是以
为首项,
为公差的等差数列;
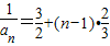
∴
=
.
∴
.
故答案为
.
点评:熟练掌握取“取倒数法”和等差数列的通项公式是解题的关键.
解答:解:∵a1=
∴数列{
∴
∴
故答案为
点评:熟练掌握取“取倒数法”和等差数列的通项公式是解题的关键.
练习册系列答案
相关题目