题目内容
已知函数(1)判断函数f(x)的奇偶性,并证明你的结论;
(2)证明函数f(x)在区间(1,+∞)上是增函数.
【答案】分析:(1)用函数奇偶性的定义判断、证明,注意具有奇偶性的函数定义域须关于原点对称;
(2)利用增函数的定义证明.
解答:解:(1)函数
为奇函数
∵函数
的定义域为(-∞,0)∪(0,+∞)且关于原点对称.
且
.
所以函数
为奇函数.
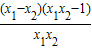
(2)证明:设x1,x2是区间(1,+∞)上的任意两个数,且x1<x2.

=
.
∵1<x1<x2,∴x1-x2<0,x1x2-1>0,∴f(x1)-f(x2)<0 即f(x1)<f(x2).
∴函数f(x)在(1,+∞)上为增函数.
点评:本题考查函数的奇偶性、单调性,属于基础题,难度不大,准确理解它们的定义是解决该类问题的基础.
(2)利用增函数的定义证明.
解答:解:(1)函数
∵函数
且
所以函数
(2)证明:设x1,x2是区间(1,+∞)上的任意两个数,且x1<x2.
=
∵1<x1<x2,∴x1-x2<0,x1x2-1>0,∴f(x1)-f(x2)<0 即f(x1)<f(x2).
∴函数f(x)在(1,+∞)上为增函数.
点评:本题考查函数的奇偶性、单调性,属于基础题,难度不大,准确理解它们的定义是解决该类问题的基础.
练习册系列答案
相关题目