题目内容
过抛物线![]()
焦点
的弦
,过
两点分别作其准线的垂线
,垂足分别为
,
倾斜角为
,若
,则
①
;
.②
,![]()
③
, ④![]()
⑤![]()
其中结论正确的序号为
【答案】
①②③④⑤
【解析】
试题分析:抛物线焦点
,直线AB斜率为
,则直线AB方程为
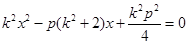
,代入抛物线方程并整理得
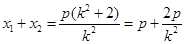
,有韦达定理可得
,
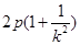
,所以
,由题意可知
异号,所以
,故①正确;
由抛物线的定义知
,整理可得
,
,故②正确;
由抛物线的定义知
,![]()
![]()
![]()
,故④正确;
由②④可知
,故③正确;
由抛物线定义知
,
,所以
,设抛物线准线与x轴交点为E,则平行可得
。所以
,即
,所以
,所以
,故⑤正确。
考点:抛物线定义,及直线与抛物线的位置关系
练习册系列答案
相关题目