题目内容

过抛物线焦点的弦,过两点分别作其准线的垂线,垂足分别为倾斜角为,若,则

.②

,  ④  ⑤

其中结论正确的序号为                

 

【答案】

①②③④⑤

【解析】

试题分析:抛物线焦点,直线AB斜率为,则直线AB方程为,代入抛物线方程并整理得,有韦达定理可得,所以,由题意可知异号,所以,故①正确;

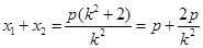
由抛物线的定义知,整理可得,故②正确;

由抛物线的定义知,故④正确;

由②④可知,故③正确;

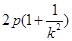
由抛物线定义知,,所以,设抛物线准线与x轴交点为E,则平行可得。所以,即,所以,所以,故⑤正确。

考点:抛物线定义,及直线与抛物线的位置关系

 

练习册系列答案
相关题目

违法和不良信息举报电话:027-86699610 举报邮箱:58377363@163.com

精英家教网