题目内容
椭圆
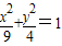
【答案】分析:根据椭圆的标准方程,求出a的值,由△ABF2的周长是 (|AF1|+|AF2|)+(|BF1|+|BF2|)=2a+2a 求出结果.
解答:
解:椭圆
的a=3,b=2,
△ABF2的周长是 (|AF1|+|AF2|)+(|BF1|+|BF2|)=2a+2a=4a=12,
故答案为:12.
点评:本题考查椭圆的定义、标准方程,以及简单性质的应用,利用椭圆的定义是解题的关键.
解答:
△ABF2的周长是 (|AF1|+|AF2|)+(|BF1|+|BF2|)=2a+2a=4a=12,
故答案为:12.
点评:本题考查椭圆的定义、标准方程,以及简单性质的应用,利用椭圆的定义是解题的关键.
练习册系列答案
相关题目