题目内容
已知数列{an}的前n项和为Sn,且Sn=n(n+1)(n∈N*)。
(1)求数列{an}的通项公式;
(2)若数列{bn}满足:an=
,求数列{bn}的通项公式;
(3)令cn=
(n∈N*),求数列{cn}的前n项和Tn。
(1)求数列{an}的通项公式;
(2)若数列{bn}满足:an=
(3)令cn=
解:(1)当
时,
当
时,
知
满足该式
∴数列
的通项公式为
;
(2)
(
) ①
∴
②
②-①得
,
故
(n∈N*);
(3)

∴

令
①
则
②
①-②得

∴
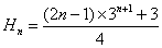
所以数列{cn}的前n项和
。
当
∴数列
(2)
∴
②-①得
故
(3)
∴
令
则
①-②得
∴
所以数列{cn}的前n项和
练习册系列答案
相关题目
已知数列{an}的前n项和Sn=an2+bn(a、b∈R),且S25=100,则a12+a14等于( )
| A、16 | B、8 | C、4 | D、不确定 |