题目内容
已知数列{an}满足an+1=2an+2n+2-1,a1=3,(1)求证:数列
(2)求数列{an}的前n项的和Sn;
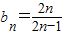
(3)令
【答案】分析:(1)在等式an+1=2an+2n+2-1的两边同除以2n,利用等差数列的定义得到证明;
(2)利用对称数列的通项公式求出
,进一步求出数列{an}的通项公式.由于通项是一个等差数列与一个等比数列的积构成的新数列,利用错位相减法求出数列的前n项和.
(3)这是一个与正整数有关的不等式的证明,可利用数学归纳法进行证明.
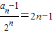
解答:解:(1)

,
∴
是公差为2,首项为1的等差数列
(2)由(1)知:
,
∴

令
①
①×2得:
②
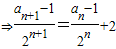
②-①得:
=6+(2n-3)•2n+1
∴
(3)∵
∴
,
∵Tn=b1b2b3•…•bn
当n=1时,
不等式成立
假设n=k(k∈N*)不等式
成立,
则当n=k+1时,有
∵
∴
即当n=k+1时不等式也成立.综上,当n∈N*时,原不等式成立.
点评:求数列的前n项和,一般先求出数列的通项,然后选择合适的求和方法.常用的求和方法有:公式法、倒序相加法、错位相减法、裂相消法、分组法.
(2)利用对称数列的通项公式求出
(3)这是一个与正整数有关的不等式的证明,可利用数学归纳法进行证明.
解答:解:(1)
∴
(2)由(1)知:
∴
令
①×2得:
②-①得:
∴
(3)∵
∴
∵Tn=b1b2b3•…•bn
当n=1时,
假设n=k(k∈N*)不等式
则当n=k+1时,有
∵
∴
点评:求数列的前n项和,一般先求出数列的通项,然后选择合适的求和方法.常用的求和方法有:公式法、倒序相加法、错位相减法、裂相消法、分组法.
练习册系列答案
相关题目